|
Поверхность тела вращения
| | | | | | | | | | Поверхность тела вращения | |
Пусть
задана поверхность образованная вращением кривой вокруг оси ОХ,
площадь поверхности этой поверхности на участке (функция f(x) непрерывна и ее производная
непрерывна на отрезке )
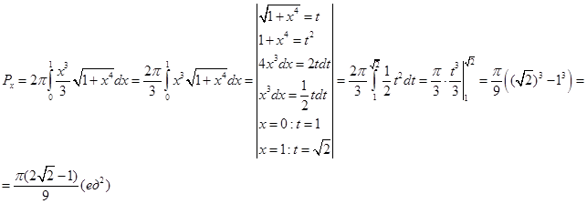
Пример:

Площадь поверхности тела вращения вокруг оси Ох найдем по формуле:


Тогда 
|